5 年
手机商铺

新冠蛋白SARS-CoV-2 Nucleocapsid Protein (Omicron B1.1.529 Variant), Tag Free, HEK293
品牌:Chamot Biotech/乔默生物
¥5400
咨询公司新闻/正文
293 人阅读发布时间:2025-03-27 12:05
在生命科学研究和生物制药的前沿领域,重组细胞因子发挥着举足轻重的作用。从基础的细胞培养实验,到复杂的临床治疗探索,它都宛如一把 “wanneng钥匙”,开启了众多关键生物过程的大门。然而,在关注重组细胞因子强大功能的同时,有一个容易被忽视却极其关键的因素 —— 内毒素水平,正深刻影响着研究结果的准确性与治疗的安全性。今天,就让我们一同深入探究重组细胞因子低水平内毒素的重要意义。
内毒素:隐藏在暗处的 “破坏者”
内毒素是革兰氏阴性菌细胞壁外壁层的特有结构,其主要成分为脂多糖(LPS) 。细菌存活时,内毒素一般不会释放,一旦细菌死亡自溶或粘附到其他细胞,其毒性便会显现。它犹如隐藏在暗处的 “破坏者”,对细胞和生物体有着强大的干扰能力。
从细胞层面来看,极低浓度的内毒素就能干扰细胞的正常生理功能。Schwarz H等人研究表明根据即使是低至 0.002 - 2 ng/ml 的脂多糖(内毒素的主要成分),也能激活特定免疫细胞 。在细胞培养实验中,内毒素可能导致细胞形态改变、生长速率异常,甚至诱导细胞凋亡。例如,在免疫细胞培养时,内毒素污染可能提前激活免疫细胞,使细胞进入活化状态,这不仅干扰对细胞因子正常免疫调节功能的研究,还会让实验结果出现偏差,误导科研人员的判断。
Effects of low LPS concentrations on cytokine production in different human immune cells.(Harald Schwarz. PLoS One. 2014 )
在临床应用领域,内毒素的危害更加严重。当含有较高水平内毒素的重组细胞因子类药物进入人体,可能引发强烈免疫反应,包括发热、寒战、低血压等症状,严重时甚至会导致多器官功能障碍综合征,危及患者生命安全。就像在 20 世纪 40 年代,青霉素刚用于治疗流行性脑膜炎时,由于该病原菌是革兰氏阴性菌,大剂量青霉素快速杀灭病菌,导致大量内毒素释放,引发内毒素休克,加速了部分患者的死亡 。
低水平内毒素:保障科研与治疗的 “坚固盾牌”
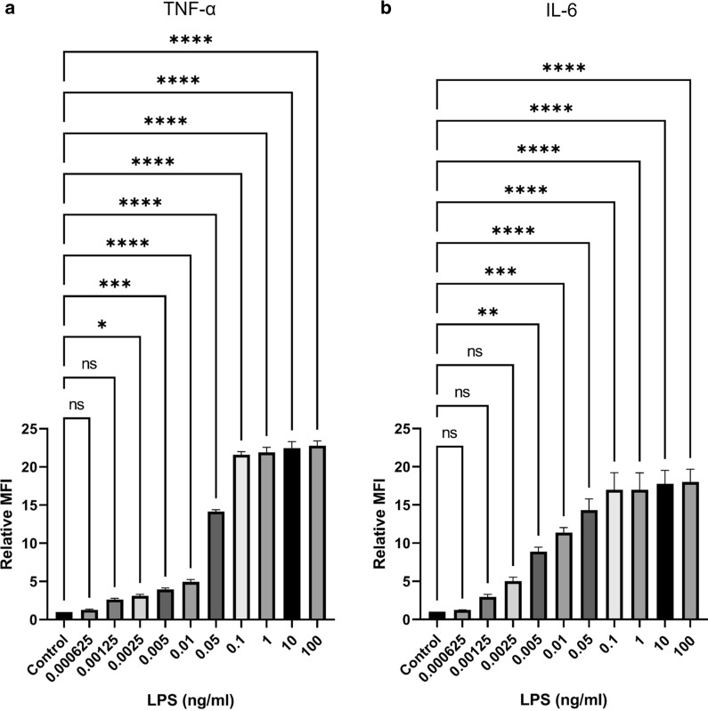
对于科研工作者而言,使用低水平内毒素的重组细胞因子是获取可靠实验数据的基础。以细胞因子功能分析、蛋白相互作用等研究为例,只有确保细胞因子的纯净,才能准确观察和研究其对细胞的真实作用,避免因内毒素干扰得出错误结论。Ratthakorn Chaiwut等人的研究表明,单核细胞在极低浓度的内毒素污染(LPS:0.0025 - 0.005 ng/mL) 就能诱导细胞因子产生 。这意味着在相关研究中,若使用的重组细胞因子内毒素水平不达标,实验结果将难以反映细胞因子的真实功能,浪费大量时间、资源和精力。
A very low concentrations of lipopolysaccharide induce the production of TNF-α and IL-6 in monocytes. (Ratthakorn Chaiwut. BMC Res Notes. 2022)
在生物制药领域,低水平内毒素是药品安全性和有效性的关键保障。制药企业严格控制重组细胞因子产品中的内毒素含量,是对患者生命健康负责的重要体现。低内毒素的细胞因子类药物,能够在发挥治疗作用的同时,zuida程度降低不良反应发生风险,提高患者治疗的依从性和成功率。
如何实现低水平内毒素
乔默生物作为国内专注重组细胞因子生产商,目前提供的重组细胞因子其内毒素水平大多数为低于0.1 EU/ug,部分指标更低于0.01EU/ug。为获取低水平内毒素的重组细胞因子,我们采取了一系列严格措施。从生产工艺源头抓起,选用内毒素含量低的原材料是首要步骤。在纯化环节,采用亲和层析、离子交换层析等方法,层层去除杂质和内毒素。同时,生产过程严格遵循质量管理规范,对每一个环节进行严密监控,确保内毒素水平始终处于极低状态。
常用指标推荐
|
DC细胞诱导 GM-CSF IL-4
|
破骨细胞诱导 M-CSF RANKL
|
巨噬细胞诱导 M-CSF GM-CSF IFN-γ IL-4 IL-13 IL-10 |
|
CAR-T细胞治疗 rh IL-2 rh IL-7 rh IL-15 rh IL-21 rh IFN-γ |
类器官培养 Wnt-3a Noggin EGF R-Spondin 1 |
造血干细胞分化 Flt3-Ligand SCF TPO |
参考文献:
1. Schwarz H., Schmittner M.Residual Endotoxin Contaminations in Recombinant Proteins Are Sufficient to Activate Human CD1c+ Dendritic Cells. PLoS One. 2014 Dec 5;9(12):e113840.
2. Ratthakorn Chaiwut, Watchara Kasinrerk. Very low concentration of lipopolysaccharide can induce the production of various cytokines and chemokines in human primary monocytes. BMC Res Notes. 2022 Feb 10;15(1):42.
3. Weber, M., K. Möller, M. Welzcek. Effects of lipopolysaccharide on transfection efficiency in eukaryotic cells.Biotechniques. 1995 Dec;19(6):930-40.
4. Zanoni I, Granucci F. Differences in lipopolysaccharide-induced signaling between conventional dendritic cells and macrophages. Immunobiology. 2010 Sep-Oct;215(9-10):709-12.
5. Tao, S. , McKenna, T.M. In vitro Endotoxin Exposure Induces Contractile Dysfunction in Adult Rat Cardiac Myocytes. Am J Physiol. 1994 Nov;267(5 Pt 2):H1745-52.
6. Wille, J.J., Park, J. and Elgavish, A. Effects of Growth Factors, Hormones, Bacterial Lipopolysaccharides, and Lipotechoic Acids on the Clonal Growth of Normal Uretal Epithelial Cells in Serum-Free Culture. J Cell Physiol. 1992 Jan;150(1):52-8.